Maestrale samostoječe jadro do velikosti 8 x 8 m
Samostojno senčno jadro s strukturo iz poliranega + elektropoliranega + pasiviziranega nerjavečega jekla, ročna ali motorna izvedba, anemometer, radijsko krmiljenje, jadro v beli barvi Dacron®, radialno vkrojen, teža 400 g/m2 in prekrivalo.
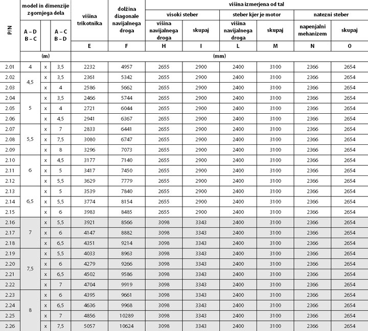
Maestrale jadro ima lahko kvadratno ali pravokotno obliko z 90 ° koti.
Opcijsko: LED usmerjeni žarometi, električni priključki za motor in reflektorje LED, daljinsko vodeno. Platno izvedljivo tudi s Tempotest® ali StarLight®, ki je odporno na ogenj. Drog v satenasti in elektropolirani izvedbi.
LED usmerjeni žarometi: 8,2 W, LED svetlobo 4000 °k (naravna svetloba), 800 lumnov in 4 m dolg električni kabel. Izdelana iz srebrne anodizirane aluminijeve zlitine in nameščene na drog s poliranim nosilcem iz nerjavečega jekla, ki omogoča usmeritev svetlobe.







